Powered by Froala Editor
Наведите телефон на QR код
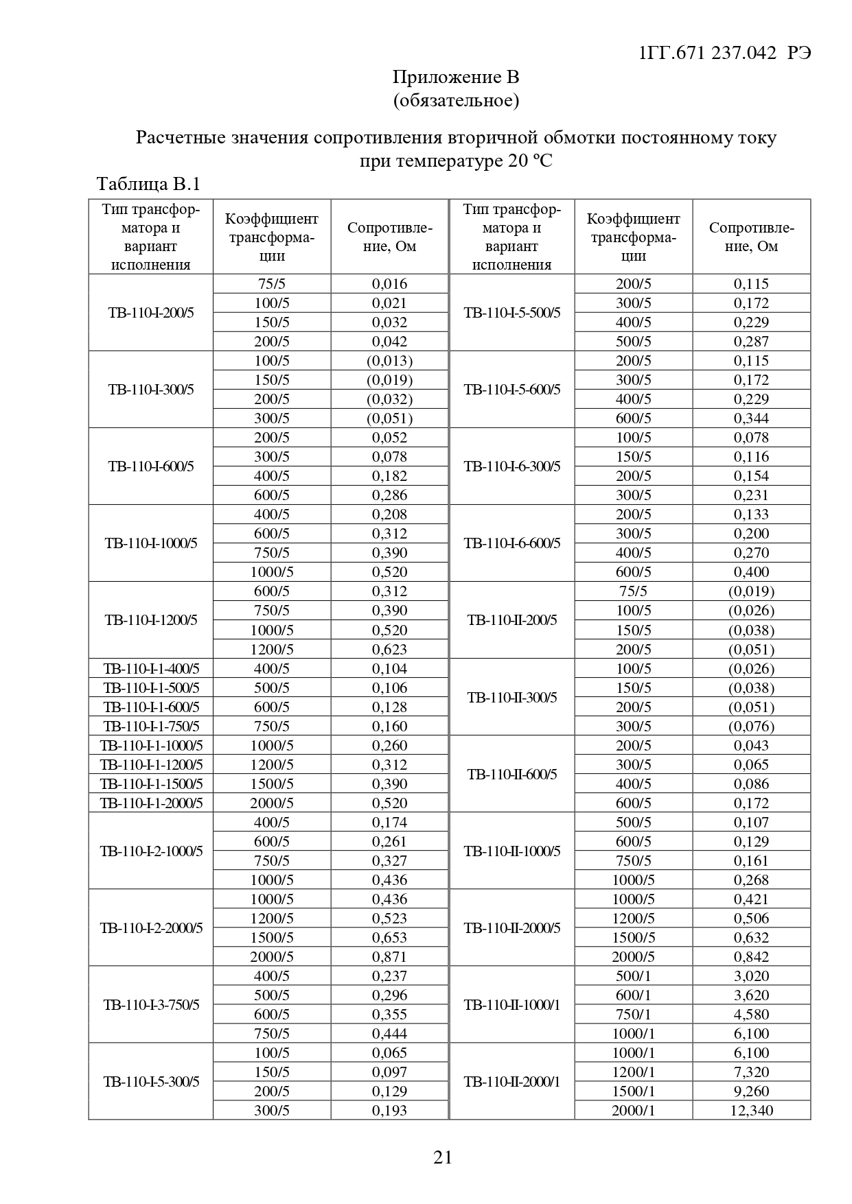
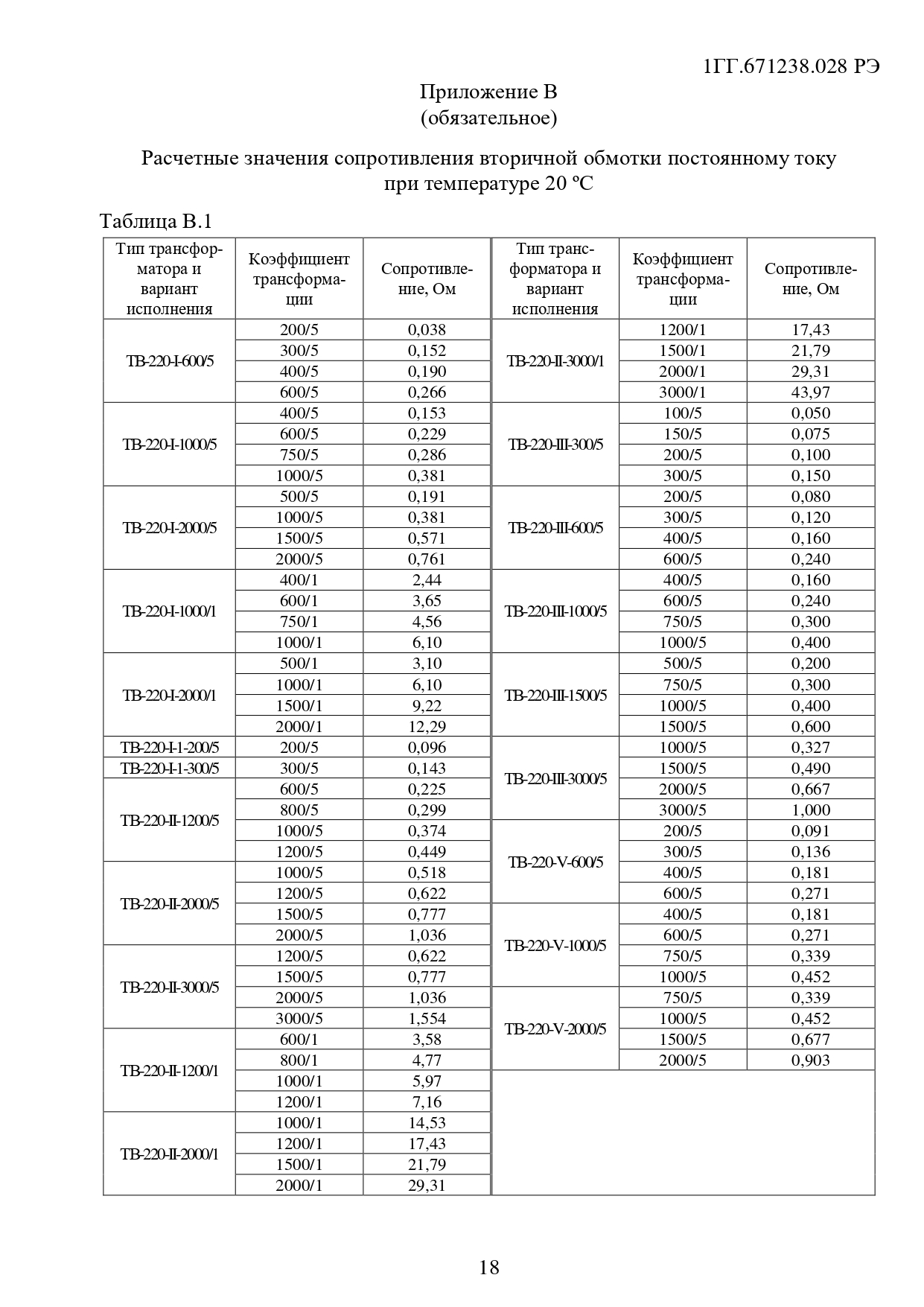
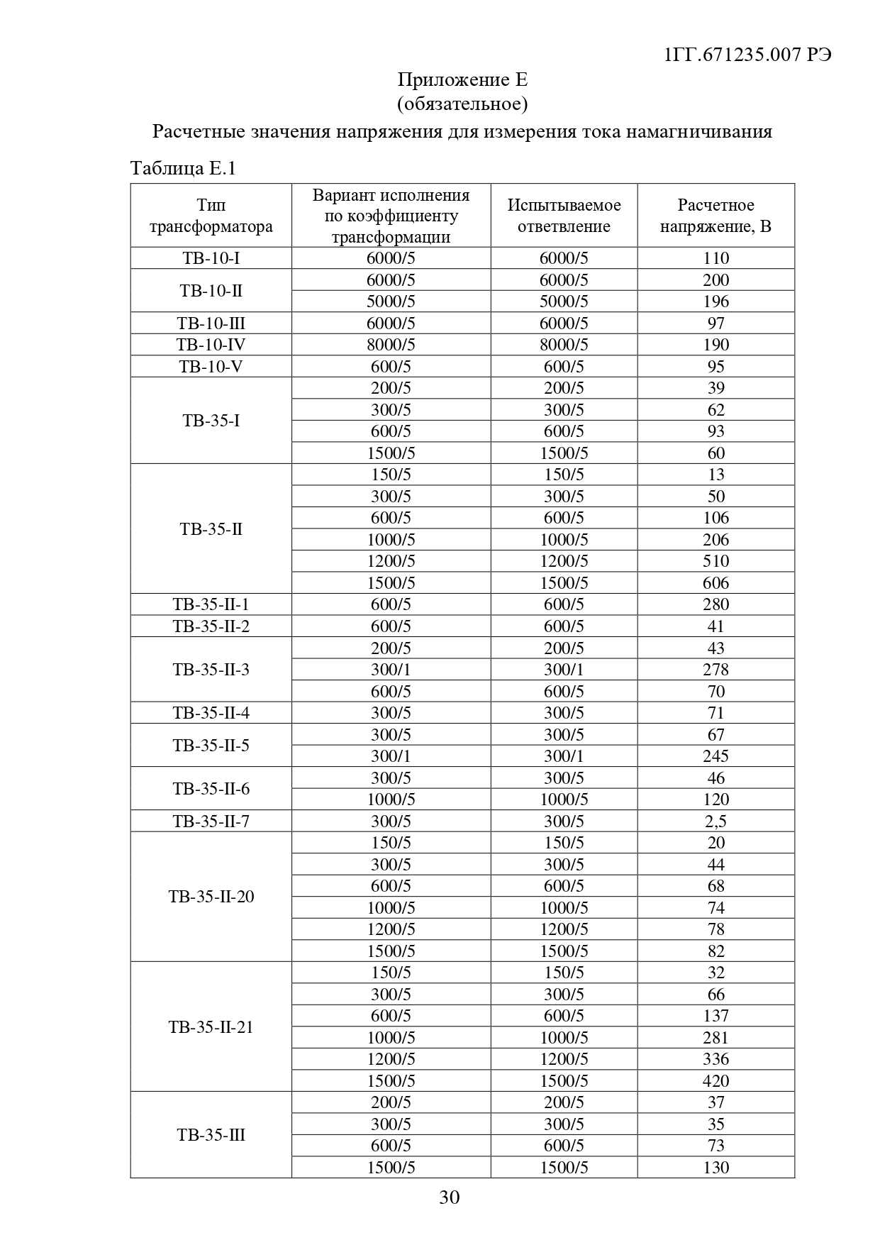
Тип трансформатора |
Вариант исполнения |
Номинальный ток, А |
Вторичная нагрузка при cos φ = 0,8 в классе точности, В·А |
Ток термической стойкости, кА, (кратность) |
Номинальная предельная кратность |
Длительность протекания тока короткого замыкания, с |
||||
|---|---|---|---|---|---|---|---|---|---|---|
первичный |
вторичный |
0,5 (5Р или 10Р) | 1 (5Р или 10Р) | 3(10Р) | 10 | |||||
| ТВ-10-I | 6000/5 |
6000 |
5 |
20 |
- |
- |
- |
85,5 |
3 |
4 |
| ТВ-10-II | 5000/5 |
5000 |
30 |
- |
- |
- |
10 |
|||
6000/5 |
6000 |
30 |
- |
- |
- |
|||||
| ТВ-10-III | 6000/5 | 6000 | 30 | - | - | - | (28) | 10 | 3 | |
| ТВ-10-IV | 8000/5 | 8000 | 20 | - | - | - | 16 | |||
| ТВ-35-I | 200/5 | 75 | - | - | - | 20 | 10 | - | 4 | |
100 | - | - | - | 20 | - | |||||
150 | - | - | 20 | - | 5 | |||||
| 200 | - | - | 20 | - | 9 | |||||
| 300/5 | 100 | - | - | - | 20 | - | ||||
| 150 | - | - | 20 | - | 5 | |||||
| 200 | - | - | 20 | - | 9 | |||||
| 300 | - | 10 | - | - | 25 | |||||
| 600/5 | 200 | - | - | 20 | - | 9 | ||||
| 300 | - | 10 | - | - | 25 | |||||
| 400 | - | 20 | - | - | 16 | |||||
| 600 | 10 | - | - | - | 16* | |||||
| 1500/5 | 600 | 10 | - | - | - | 16* | ||||
| 750 | 30 | - | - | - | 13* | |||||
| 1000 | 30 | - | - | - | 10* | |||||
| 1500 | 30 | - | - | - | 6,5* | |||||
| ТВ-35-II | 150/5 *** | 50 | - | - | - | 10 | 25 | - | 3 | |
| 75 | - | - | - | 20 | - | |||||
| 100 | - | - | - | 20 | - | |||||
| 150 | - | - | - | 30 | - | |||||
| 300/5 *** | 100 | - | - | - | 20 | - | ||||
| 150 | - | - | - | 30 | - | |||||
| 200 | - | - | - | 40 | - | |||||
| 300 | - | - | 30 | - | 7 | |||||
| 600/5 *** | 200 | - | - | - | 40 | - | ||||
| 300 | - | - | 30 | - | 7 | |||||
| 400 | - | - | 40 | - | 8 | |||||
| 600 | - | 30 | - | - | 14 | |||||
| ТВ-35-II | 1000/5 | 400 | 5 | - | - | 40 | - | 25 | 8 | 3 |
| 600 | - | 30 | - | - | 14 | |||||
| 750 | 30 | - | - | - | 20 | |||||
| 1000 | 30 | - | - | - | 22 | |||||
| 1200/5 | 600 | 30 | - | - | - | 34 | ||||
| 800 | 30 | - | - | - | 31* | |||||
| 1000 | 30 | - | - | - | 25* | |||||
| 1200 | 30 | - | - | - | 21* | |||||
| 1500/5 | 600 | 30 | - | - | - | 34 | ||||
| 750 | 30 | - | - | - | 33* | |||||
| 1000 | 30 | - | - | - | 25* | |||||
| 1500 | 30 | - | - | - | 17* | |||||
| ТВ-35-II-1 | 600/5 *** | 200 | 5 | - | - | - | 50 | |||
| 300 | 10 | - | - | - | 45 | |||||
| 400 | 30 | - | - | - | 25 | |||||
| 600 | 30 | - | - | - | 34 | |||||
| ТВ-35-III | 200/5 *** | 75 | - | - | - | 20 | - | 4 | ||
| 100 | - | - | - | 20 | - | |||||
| 150 | - | - | 20 | - | 5 | |||||
| 200 | - | - | 20 | - | 9 | |||||
| 300/5 | 100 | - | - | - | 20 | - | ||||
| 150 | - | - | 20 | - | 5 | |||||
| 200 | - | - | 20 | - | 9 | |||||
| 300 | - | 10 | - | - | 16 | |||||
| 600/5 | 200 | - | - | 20 | - | 9 | ||||
| 300 | - | 10 | - | - | 16 | |||||
| 400 | - | 20 | - | - | 12 | |||||
| 600 | 10 | - | - | - | 30 | |||||
| 1500/5 | 600 | 10 | - | - | - | 30 | ||||
| 750 | 30 | - | - | - | 20 | |||||
| 1000 | 30 | - | - | - | 22 | |||||
| 1500 | 30 | - | - | - | 16* | |||||
| ТВ-35-III-4 | 600/5 | 200 | - | 10 | - | - | 10 | 28 | 3 | |
| 300 | - | 30 | - | - | 16 | |||||
| 400 | - | 30 | - | - | 20 | |||||
| 600 | - | 30 | - | - | 16* | |||||
| ТВ-35-IV | 1200/1 | 600 | 1 | - | 30 | - | - | 50 | 25 | 4 |
| 800 | 30 | - | - | - | 30 | |||||
| 1000 | 30 | - | - | - | 36 | |||||
| 1200 | 30 | - | - | - | 41* | |||||
| 2000/1 | 1000 | 30 | - | - | - | 36 | ||||
| 1200 | 30 | - | - | - | 41* | |||||
| 1500 | 30 | - | - | - | 33* | |||||
| 2000 | 30 | - | - | - | 25* | |||||
| 3000/1 | 1200 | 30 | - | - | - | 41* | ||||
| 1500 | 30 | - | - | - | 33* | |||||
| 2000 | 30 | - | - | - | 25* | |||||
| 3000 | 30 | - | - | - | 16* | |||||
| 1200/5 | 600 | 5 | - | 30 | - | - | 25 | |||
| 800 | 30 | - | - | - | 30 | |||||
| 1000 | 30 | - | - | - | 36 | |||||
| 1200 | 30 | - | - | - | 41* | |||||
| 2000/5 | 1000 | 30 | - | - | - | 36 | ||||
| 1200 | 30 | - | - | - | 41* | |||||
| 1500 | 30 | - | - | - | 33* | |||||
| 2000 | 30 | - | - | - | 24* | |||||
| 3000/5 | 1200 | 30 | - | - | - | 41* | ||||
| 1500 | 30 | - | - | - | 33* | |||||
| 2000 | 30 | - | - | - | 24* | |||||
| 3000 | 30 | - | - | - | 16* | |||||
| ТВ-35-V | 300/5 *** | 100 | - | - | - | 20 | 40 | - | ||
| 150 | - | - | 20 | - | 6 | |||||
| 200 | - | - | 20 | - | 8 | |||||
| 300 | - | 10 | 20** | - | 12 | |||||
| 600/5 | 200 | - | - | 20 | - | 8 | ||||
| 300 | - | 10 | 20** | - | 12 | |||||
| 400 | - | 20 | - | - | 16 | |||||
| 600 | 10 | 30** | - | - | 16 | |||||
| 1500/5 | 600 | 10 | 30** | - | - | 16 | ||||
| 750 | 30 | - | - | - | 20 | |||||
| 1000 | 30 | - | - | - | 26 | |||||
| 1500 | 30 | - | - | - | 26* | |||||
| ТВ-35-V | 2000/5 | 750 | 5 | 30 | - | - | - | 40 | 20 | 4 |
| 1000 | 30 | - | - | - | 26 | |||||
| 1500 | 30 | - | - | - | 26* | |||||
| 2000 | 40 | - | - | - | 20* | |||||
| ТВ-110-I | 200/5 | 75 | - | - | - | 10 | 20 | - | 3 | |
| *** | 100 | - | - | 20 | - | 12 | ||||
| 150 | - | - | 20 | - | 20 | |||||
| 200 | - | - | 10** | 30 | 22 | |||||
| 300/5 | 100 | - | - | 20 | - | 12 | ||||
| 150 | - | - | 20 | - | 20 | |||||
| 200 | - | - | 10** | 30 | 22 | |||||
| 300 | - | - | 15** | 40 | 20 | |||||
| 600/5 | 200 | - | - | 10** | 30 | 22 | ||||
| 300 | - | - | 15** | 40 | 20 | |||||
| 400 | - | - | 30 | - | 15 | |||||
| 600 | 10 | 20 | 50** | - | 25 | |||||
| 1000/5 | 400 | - | 10 | 30** | - | 15 | ||||
| 600 | 10 | 20 | 50** | - | 25 | |||||
| 750 | 20 | 25 | 75** | - | 15 | |||||
| 1000 | 30 | 50** | - | - | 20* | |||||
| 1200/5 | 600 | 10 | - | - | - | 33* | ||||
| 750 | 20 | - | - | - | 26* | |||||
| 1000 | 30 | - | - | - | 20* | |||||
| 1200 | 30 | - | - | - | 16* | |||||
| ТВ-110-II | 200/5 *** | 75 | - | - | - | 15 | 50 | - | ||
| 100 | - | - | 20 | - | 5 | |||||
| 150 | - | - | 20 | - | 10 | |||||
| 200 | - | 10 | 20** | - | 20 | |||||
| 300/5 *** | 100 | - | - | 20 | - | 5 | ||||
| 150 | - | - | 20 | - | 10 | |||||
| 200 | - | 10 | 20** | - | 20 | |||||
| 300 | - | 15 | 30** | - | 20 | |||||
| 600/5 | 200 | - | - | 15 | - | 34 | ||||
| 300 | - | 15 | - | - | 50 | |||||
| 400 | - | 25 | - | - | 40 | |||||
| 600 | 25 | - | - | - | 60 | |||||
| ТВ-110-II | 1000/5 | 500 | 5 | 10** | 15 | - | - | 50 | 80 | 3 |
| 600 | 25 | - | - | - | 60 | |||||
| 750 | 50 | - | - | - | 37 | |||||
| 1000 | 50 | - | - | - | 50* | |||||
| 2000/5 | 1000 | 50 | - | - | - | 50* | ||||
| 1200 | 50 | - | - | - | 42* | |||||
| 1500 | 50 | - | - | - | 33* | |||||
| 2000 | 50 | - | - | - | 25* | |||||
| 1000/1 | 500 | 1 | 25** | 60 | - | - | 50 | |||
| 600 | 30 | - | - | - | 50 | |||||
| 750 | 50 | - | - | - | 37 | |||||
| 1000 | 50 | - | - | - | 50* | |||||
| 2000/1 | 1000 | 50 | - | - | - | 50* | ||||
| 1200 | 50 | - | - | - | 42* | |||||
| 1500 | 50 | - | - | - | 33* | |||||
| 2000 | 50 | - | - | - | 25* | |||||
| ТВ-110-III | 200/5 | 75 | 5 | - | - | - | 15 | (25) | - | |
| 100 | - | - | - | 15 | - | |||||
| 150 | - | - | 15 | - | 13,5 | |||||
| 200 | - | 10 | - | - | 20 | |||||
| 300/5 | 100 | - | - | - | 15 | - | ||||
| 150 | - | - | 15 | - | 13,5 | |||||
| 200 | - | - | 20 | - | 13,5 | |||||
| 300 | - | 30 | - | - | 14 | |||||
| 600/5 | 200 | - | - | 20 | - | 15 | ||||
| 300 | - | 25 | - | - | 16 | |||||
| 400 | - | 40 | - | - | 14 | |||||
| 600 | 50 | - | - | - | 16 | |||||
| 1000/5 | 400 | - | 30 | - | - | 17 | ||||
| 600 | 30 | - | - | - | 24 | |||||
| 750 | 40 | - | - | - | 23 | |||||
| 1000 | 40 | - | - | - | 25* | |||||
| 1500/5 | 500 | - | 30 | - | - | 15 | ||||
| 750 | 40 | - | - | - | 17 | |||||
| 1000 | 40 | - | - | - | 21 | |||||
| 1500 | 40 | - | - | - | 25* | |||||
| ТВ-110-III | 3000/5 | 1000 | 5 | 30 | - | - | - | (25) | 22 | 3 |
| 1500 | 40 | - | - | - | 23 | |||||
| 2000 | 50 | - | - | - | 24 | |||||
| 3000 | 50 | - | - | - | 25* | |||||
| 300/1 | 100 | 1 | - | - | - | 15 | - | |||
| 150 | - | - | 15 | - | 13,5 | |||||
| 200 | - | - | 20 | - | 13,5 | |||||
| 300 | - | 30 | - | - | 14 | |||||
| 600/1 | 200 | - | - | 20 | - | 15 | ||||
| 300 | - | 25 | - | - | 16 | |||||
| 400 | - | 40 | - | - | 14 | |||||
| 600 | 50 | - | - | - | 16 | |||||
| 1000/1 | 400 | - | 30 | - | - | 17 | ||||
| 600 | 30 | - | - | - | 24 | |||||
| 750 | 40 | - | - | - | 23 | |||||
| 1000 | 40 | - | - | - | 25* | |||||
| 1500/1 | 500 | - | 30 | - | - | 15 | ||||
| 750 | 40 | - | - | - | 18 | |||||
| 1000 | 40 | - | - | - | 21 | |||||
| 1500 | 40 | - | - | - | 25* | |||||
| 3000/1 | 1000 | 30 | - | - | - | 21 | ||||
| 1500 | 40 | - | - | - | 23 | |||||
| 2000 | 50 | - | - | - | 22 | |||||
| 3000 | 50 | - | - | - | 25* | |||||
| ТВ-110-IV | 300/5 | 100 | 5 | - | - | - | 15 | - | ||
| 150 | - | - | 15 | - | 18 | |||||
| 200 | - | - | 20 | - | 18 | |||||
| 300 | - | 30 | - | - | 18 | |||||
| 600/5 | 200 | - | - | 20 | - | 18 | ||||
| 300 | - | 25 | - | - | 21 | |||||
| 400 | - | 40 | - | - | 18 | |||||
| 600 | 50 | - | - | - | 21 | |||||
| 1000/5 | 400 | - | 30 | - | - | 18 | ||||
| 600 | 30 | - | - | - | 25* | |||||
| 750 | 40 | - | - | - | 24 | |||||
| 1000 | 40 | - | - | - | 25* | |||||
| ТВ-110-IV | 1500/5 | 500 | 5 | - | 30 | - | - | (25) | 11 | 3 |
| 750 | 40 | - | - | - | 12 | |||||
| 1000 | 40 | - | - | - | 18 | |||||
| 1500 | 40 | - | - | - | 25* | |||||
| 3000/5 | 1000 | 30 | - | - | - | 23 | ||||
| 1500 | 40 | - | - | - | 25* | |||||
| 2000 | 50 | - | - | - | 25* | |||||
| 3000 | 50 | - | - | - | 25* | |||||
| 300/1 | 100 | 1 | - | - | - | 15 | - | |||
| 150 | - | - | 15 | - | 18 | |||||
| 200 | - | - | 20 | - | 18 | |||||
| 300 | - | 30 | - | - | 18 | |||||
| 600/1 | 200 | - | - | 20 | - | 18 | ||||
| 300 | - | 25 | - | - | 21 | |||||
| 400 | - | 40 | - | - | 18 | |||||
| 600 | 50 | - | - | - | 21 | |||||
| 1000/1 | 400 | - | 30 | - | - | 18 | ||||
| 600 | 30 | - | - | - | 25* | |||||
| 750 | 40 | - | - | - | 24 | |||||
| 1000 | 40 | - | - | - | 25* | |||||
| 1500/1 | 500 | - | 30 | - | - | 13 | ||||
| 750 | 40 | - | - | - | 15 | |||||
| 1000 | 40 | - | - | - | 18 | |||||
| 1500 | 40 | - | - | - | 25* | |||||
| 3000/1 | 1000 | 30 | - | - | - | 23 | ||||
| 1500 | 40 | - | - | - | 25* | |||||
| 2000 | 50 | - | - | - | 25* | |||||
| 3000 | 50 | - | - | - | 25* | |||||
| ТВ-110-VII | 1000/5 | 400 | 5 | - | 10 | 30** | - | 20 | 15 | |
| 600 | 10 | 20 | 30** | - | 25 | |||||
| 750 | 20 | 25 | 75** | - | 15 | |||||
| 1000 | 30 | 50** | - | - | 20* | |||||
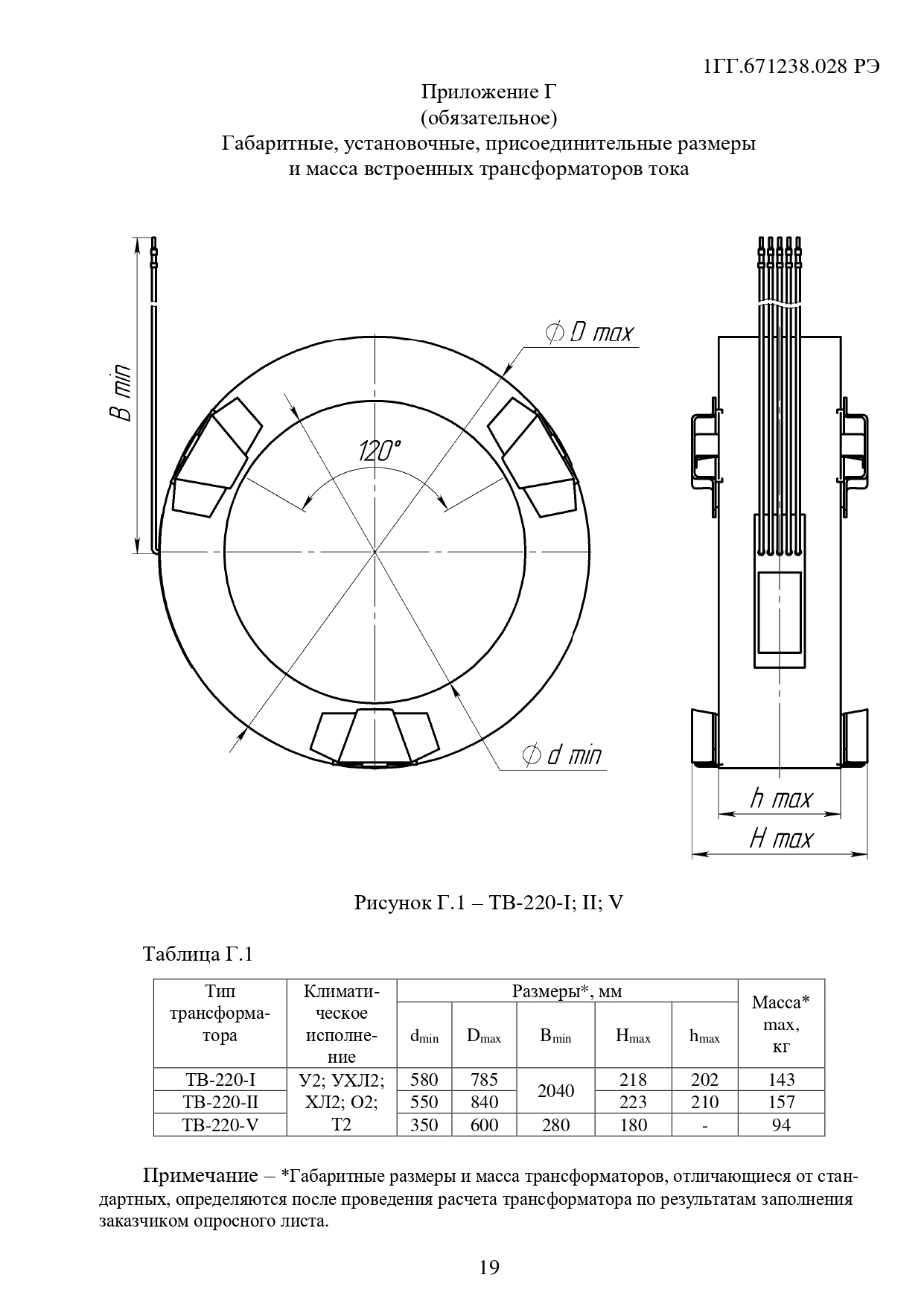
| ТВ-220-I | 600/5 | 200 | - | - | - | 40 | 25 | - | ||
| 300 | - | - | 20 | - | 20 | |||||
| 400 | - | - | 30 | - | 20 | |||||
| 600 | 10 | - | 50** | - | 18 | |||||
| ТВ-220-I | 1000/5 | 400 | 5 | - | - | 30 | - | 25 | 20 | 3 |
| 600 | - | 20 | 50** | - | 18 | |||||
| 750 | 15 | 30** | - | - | 32 | |||||
| 1000 | 20 | 50** | - | - | 25* | |||||
| 2000/5 | 500 | - | - | 50 | - | 13 | ||||
| 1000 | 20 | 50** | - | - | 25* | |||||
| 1500 | 30 | - | - | - | 16* | |||||
| 2000 | 50 | - | - | - | 12* | |||||
| 1000/1 | 400 | 1 | - | - | 40 | - | 15 | |||
| 600 | 10 | - | 40** | - | 22 | |||||
| 750 | 15 | 40** | - | - | 25 | |||||
| 1000 | 30 | - | - | - | 25* | |||||
| 2000/1 | 500 | - | 20 | 40** | - | 19 | ||||
| 1000 | 30 | - | - | - | 25* | |||||
| 1500 | 40 | - | - | - | 16* | |||||
| 2000 | 50 | - | - | - | 12* | |||||
| ТВ-220-II | 1200/5 | 600 | 5 | - | 15 | - | - | 40 | 50 | |
| 800 | 20 | - | - | - | 50* | |||||
| 1000 | 30 | - | - | - | 40* | |||||
| 1200 | 30 | - | - | - | 33* | |||||
| 2000/5 | 1000 | 30 | - | - | - | 40* | ||||
| 1200 | 30 | - | - | - | 33* | |||||
| 1500 | 30 | - | - | - | 27* | |||||
| 2000 | 30 | - | - | - | 20* | |||||
| 3000/5 | 1200 | 30 | - | - | - | 33* | ||||
| 1500 | 30 | - | - | - | 27* | |||||
| 2000 | 30 | - | - | - | 20* | |||||
| 3000 | 30 | - | - | - | 13* | |||||
| 1200/1 | 600 | 1 | - | 15 | - | - | 50 | |||
| 800 | 20 | - | - | - | 50* | |||||
| 1000 | 30 | - | - | - | 40* | |||||
| 1200 | 30 | - | - | - | 33* | |||||
| 2000/1 | 1000 | 30 | - | - | - | 40* | ||||
| 1200 | 30 | - | - | - | 33* | |||||
| 1500 | 30 | - | - | - | 27* | |||||
| 2000 | 30 | - | - | - | 20* | |||||
| 3000/1 | 1200 | 1 | 30 | - | - | - | 33* | 3 | ||
| 1500 | 30 | - | - | - | 27* | |||||
| 2000 | 30 | - | - | - | 20* | |||||
| 3000 | 30 | - | - | - | 13* | |||||
| ТВ-220-III | 300/5 | 100 | 5 | - | - | - | 15 | (25) | - | |
| 150 | - | - | 15 | - | 24 | |||||
| 200 | - | - | 20 | - | 24 | |||||
| 300 | - | - | 30 | - | 24 | |||||
| 600/5 | 200 | - | - | 15 | - | 21 | ||||
| 300 | - | - | 20 | - | 23 | |||||
| 400 | - | 30 | - | - | 21 | |||||
| 600 | 30 | - | - | - | 25* | |||||
| 1000/5 | 400 | - | 30 | - | - | 21 | ||||
| 600 | 30 | - | - | - | 25* | |||||
| 750 | 40 | - | - | - | 25* | |||||
| 1000 | 50 | - | - | - | 25* | |||||
| 1500/5 | 500 | - | 30 | - | - | 25* | ||||
| 750 | 40 | - | - | - | 25* | |||||
| 1000 | 60 | - | - | - | 25* | |||||
| 1500 | 75 | - | - | - | 25* | |||||
| 3000/5 | 1000 | - | 60 | - | - | 19 | ||||
| 1500 | 75 | - | - | - | 22 | |||||
| 2000 | 100 | - | - | - | 22 | |||||
| 3000 | 100 | - | - | - | 25* | |||||
| ТВ-220-V | 600/5 | 200 | - | - | 15 | - | 25* | |||
| 300 | - | - | 20 | - | 25* | |||||
| 400 | - | - | 30 | - | 25* | |||||
| 600 | - | - | 30 | - | 25* | |||||
| 1000/5 | 400 | - | - | 30 | - | 25* | ||||
| 600 | - | - | 30 | - | 25* | |||||
| 750 | - | 40 | - | - | 25* | |||||
| 1000 | 30 | 40 | - | - | 25* | |||||
| 2000/5 | 750 | - | 50 | - | - | 25* | ||||
| 1000 | - | 60 | - | - | 25* | |||||
| 1500 | 75 | - | - | - | 25* | |||||
| 2000 | 100 | - | - | - | 25* | |||||
Примечания к таблице 1 | ||||||||||
| Тип трансформатора | Вариант исполнения | Номинальный ток, А | Номинальная вторичная нагрузка при cos φ = 0,8 в классе точности, В·А | Ток термической стойкости, кА (кратность) | Номинальная предельная кратность | Длительность протекания тока к. з., с | ||||||
| первичный | вторичный | 10Р | 0,2S | 0,5S | 0,5 | 1 | 3 | |||||
| ТВ-35-II-21 | 150/5 | 50 | 5 | 10 | ̶ | (34) | 4 | 3 | ||||
| 75 | 20 | 3 | ||||||||||
| 100 | 20 | 4 | ||||||||||
| 150 | 30 | 5 | ||||||||||
| 300/5 | 100 | 20 | 4 | |||||||||
| 150 | 30 | 5 | ||||||||||
| 200 | 40 | 5 | ||||||||||
| 300 | 30 | 10 | ||||||||||
| 600/5 | 200 | 40 | 5 | |||||||||
| 300 | 30 | 10 | ||||||||||
| 400 | 40 | 10 | ||||||||||
| 600 | 30 | 19 | ||||||||||
| 1000/5 | 400 | 40 | 11 | |||||||||
| 600 | 30 | 20 | ||||||||||
| 750 | 30 | 25 | ||||||||||
| 1000 | 30 | 29 | ||||||||||
| 1200/5 | 600 | 30 | 20 | |||||||||
| 800 | 30 | 26 | ||||||||||
| 1000 | 30 | 29 | ||||||||||
| 1200 | 30 | 30 | ||||||||||
| 1500/5 | 600 | 30 | 20 | |||||||||
| 750 | 30 | 25 | ||||||||||
| 1000 | 30 | 29 | ||||||||||
| 1500 | 30 | 30 | ||||||||||
| ТВ-35-II-20 | 150/5* | 50 | 5 | ̶ | - | - | - | - | 3 | 25 | 10 | 3 |
| 75 | - | - | - | 5 | - | 10 | ||||||
| 100 | - | - | - | 5 | - | 10 | ||||||
| 150 | - | - | 10 | - | - | 10 | ||||||
| 300/5* | 100 | - | - | - | 5 | - | 10 | |||||
| 150 | - | - | 10 | - | - | 10 | ||||||
| 200 | - | - | 15 | - | - | 10 | ||||||
| 300 | - | 20 | - | - | - | 10 | ||||||
| 600/5* | 200 | - | - | 15 | - | - | 10 | |||||
| 300 | - | 20 | - | - | - | 10 | ||||||
| 400 | - | 30 | - | - | - | 10 | ||||||
| 600 | 30 | - | - | - | - | 10 | ||||||
| 1000/5* | 400 | - | 20 | - | - | - | 10 | |||||
| 600 | - | 30 | - | - | - | 10 | ||||||
| 750 | 30 | - | - | - | - | 10 | ||||||
| 1000 | 30 | - | - | - | - | 10 | ||||||
| 1200/5* | 600 | - | 30 | - | - | - | 10 | |||||
| 800 | 30 | - | - | - | - | 10 | ||||||
| 1000 | 30 | - | - | - | - | 10 | ||||||
| 1200 | 30 | - | - | - | - | 10 | ||||||
| * Термическая стойкость для данного исполнения указана при обмотке, замкнутой на номинальную нагрузку. | ||||||||||||
| Тип трансформатора |
Вариант исполнения |
Номинальный ток, А | Вторичная нагрузка при cos φ = 0,8 в классе точности, В·А | Трехсекундный ток термической стойкости, кА (кратность) |
Номинальный коэффициент безопасности |
Длительность протекания тока короткого замыкания, с |
||||
| первичный | вторичный | 0,2S | 0,5S | 0,5 | 1 | |||||
| ТВ-35-II-2 | 600/5 | 600 |
5 |
30 | - | - | - | 25 | 6 |
3 |
|
ТВ-35-II-3 |
200/5 | 200 | - | - | 20 | - | (25) | 10 | ||
| 600/5 | 600 | - | 30 | - | - |
25 |
10 | |||
|
300/1* |
100 |
1 |
- | - | 10 | - | 10 | |||
| 150 | - | - | 20 | - | 10 | |||||
| 200 | - | 30 | - | - | 10 | |||||
| 300 | 20 | - | - | - | 12 | |||||
|
ТВ-35-II-4 |
300/5 |
100 |
5 |
- | - | 10 | - | 10 | ||
| 150 | - | - | 20 | - | 10 | |||||
| 200 | - | 30 | - | - | 10 | |||||
| 300 | 30 | 50 | - | - | 10 | |||||
|
ТВ-35-II-5 |
300/5 |
75 | - | - | - | 10 | 10 | |||
| 150 | - | 10 | - | 30 | 10 | |||||
| 200 | - | 30 | - | - | 10 | |||||
| 300 | 15 | 50 | - | - | 10** | |||||
|
300/1 |
100 |
1 |
- | - | 10 | - | 10 | |||
| 150 | - | - | 20 | - | 10 | |||||
| 200 | - | 30 | - | - | 10 | |||||
| 300 | 20 | - | - | - | 10 | |||||
|
ТВ-35-II-6 |
300/5 |
100 |
5 |
- | - | - | 5 | 10 | ||
| 150 | - | - | 5 | - | 10 | |||||
| 200 | - | - | 10 | - | 10 | |||||
| 300 | 5 | 20 | - | - | 10** | |||||
|
1000/5 |
400 | 10 | - | - | - | 10 | ||||
| 600 | 20 | - | - | - | 10 | |||||
| 750 | 40 | - | - | - | 10 | |||||
| 1000 | 50 | - | - | - | 10 | |||||
| ТВ-35-II-7 | 300/5 | 300 | - | - | 1,5*** | - | 5 | |||
|
ТВ-35-VI |
600/5 |
200 | - | - | 15 | - | (25) |
10 | ||
| 300 | - | 20 | - | - | 10 | |||||
| 400 | - | 30 | - | - | 10 | |||||
| 600 | - | 50 | - | - | 10 | |||||
|
ТВ-35-XX |
250/5 | 250 | 1*** | - | - | - |
70 |
5 | ||
| 300/5 | 300 | 1*** | - | - | - | 5 | ||||
| 450/5 | 450 | 3 | - | - | - | 5 | ||||
|
ТВ-35-XX |
1250/5 |
1250 |
5 | 10 | - | - | - |
70 |
5 |
3 |
| 1250/2 | 2 | 10 | - | - | - | 5 | ||||
| 2500/5 |
2500 |
5 | 20 | - | - | - | 5 | |||
| 2500/2 | 2 | 20 | - | - | - | 5 | ||||
|
ТВ-110-I-1 |
400/5 | 400 |
5 |
- | 15 | - | - | (25) |
5 | |
| 500/5 | 500 | - | 20 | - | - | 5 | ||||
| 600/5 | 600 | - | 30 | - | - | 5 | ||||
| 750/5 | 750 | - | 50 | - | - | 5 | ||||
| 1000/5 | 1000 | 20 | 50 | - | - | 5** | ||||
| 1200/5 | 1200 | 25 | - | - | - | 8 | ||||
| 1500/5 | 1500 | 40 | - | - | - | 7 | ||||
| 2000/5 | 2000 | 50 | - | - | - | 7 | ||||
|
ТВ-110-I-2 |
1000/5 |
400 | - | 10 | - | - | 11 | |||
| 600 | - | 30 | - | - | 8 | |||||
| 750 | - | 50 | - | - | 7 | |||||
| 1000 | 30 | - | - | - | 11 | |||||
|
2000/5 |
1000 | - | 50 | - | - | 8 | ||||
| 1200 | - | 50 | - | - | 9 | |||||
| 1500 | 50 | - | - | - | 10 | |||||
| 2000 | 100 | - | - | - | 8 | |||||
|
ТВ-110-I-3 |
750/5 |
400 | - | 10 | - | - | 12 | |||
| 500 | - | 20 | - | - | 10 | |||||
| 600 | - | 40 | - | - | 7 | |||||
| 750 | - | 40 | - | - | 8 | |||||
|
ТВ-110-I-5 |
300/5* |
100 | - | - | - | 5 |
50 |
21 | ||
| 150 | - | 5 | - | - | 27 | |||||
| 200 | - | 10 | - | - | 21 | |||||
| 300 | - | 25 | - | - | 15 | |||||
|
500/5* |
200 | - | - | 10 | 20 | 10** | ||||
| 300 | - | 15 | 30 | 40 | 8** | |||||
| 400 | - | 30 | 40 | - | 10** | |||||
| 500 | 15 | 50 | 75 | - | 8** | |||||
|
600/5* |
200 | - | - | 10 | 20 | 10** | ||||
| 300 | - | 15 | 30 | 40 | 8** | |||||
| 400 | - | 30 | 40 | - | 10** | |||||
| 600 | 25 | 50 | 100 | - | 7** | |||||
|
ТВ-110-I-6 |
300/5* |
100 |
5 |
- | - | - | 5 |
50 |
24 |
3 |
| 150 | - | 5 | - | - | 30 | |||||
| 200 | - | 10 | - | - | 24 | |||||
| 300 | - | 30 | - | - | 15 | |||||
|
ТВ-110-I-6 |
600/5* |
200 | - | - | 10 | 20 | 11** | |||
| 300 | - | 15 | 30 | 40 | 9** | |||||
| 400 | - | 30 | 40 | - | 11** | |||||
| 600 | 25 | 50 | 100 | - | 8** | |||||
|
ТВ-110-VI |
600/5 |
300 | - | 10 | - | - | (25) |
16 | ||
| 400 | - | 10 | - | - | 20 | |||||
| 600 | - | 10 | - | - | 27 | |||||
|
ТВ-110-VIII |
1000/5 |
400 | - | - | 30 | - | 5 | |||
| 600 | - | 40 | - | - | 6 | |||||
| 750 | - | 50 | - | - | 6 | |||||
| 1000 | 50 | - | - | - | 7 | |||||
|
ТВ-110-ХIII |
1200/1* |
1200 |
1 | 30 | - | - | - |
40 |
13 | |
| 1200/5* | 5 | 30 | - | - | - | 13 | ||||
| 2000/1* |
2000 |
1 | 30 | - | - | - | 8 | |||
| 2000/5* |
5 |
30 | - | - | - | 8 | ||||
|
ТВ-220-I-1 |
200/5* | 200 | - | - | 10 | - |
50 |
18 | ||
| 300/5* | 300 | - | 20 | - | - | 14 | ||||
|
ТВ-330-I |
3000/1 |
500 |
1 |
- | 30 | - | - |
70 |
10**** |
|
| 1000 | - | 50 | - | - | ||||||
| 2000 | 75 | - | - | - | ||||||
| 3000 | 100 | - | - | - | ||||||
|
ТВ-500-I |
1000/5 |
500 |
5 |
- | 50 | - | - |
70** |
||
| 600 | - | 60 | - | - | ||||||
| 750 | - | 75 | - | - | ||||||
| 1000 | 100 | - | - | - | ||||||
|
ТВ-750-I |
1000/5 |
500 | - | - | 50 | - | ||||
| 600 | - | 50 | - | - | ||||||
| 750 | - | 75 | - | - | ||||||
| 1000 | - | 100 | - | - | ||||||
| ТВ-750-II | 1000/5 | 1000 | - | 100 | - | - | 60 | 20**** | ||
|
Примечания к Таблице 3 |
||||||||||
Трансформаторы серии ТВ подходят для замены трансформаторов марок ТВТ, ТВ-ЭК М1, ТВ-СЭЩ, ТВ-СВЭЛ, SB 0,8.
Powered by Froala Editor
Класс напряжения, кВ: 0.66
Климатическое исполнение: У2; УХЛ2
Номинальный первичный ток, А: 75—1250
Класс напряжения, кВ: 35
Климатическое исполнение: У3
Заземляемый: да
Класс напряжения, кВ: 0.66
Климатическое исполнение: УХЛ
Масса, кг: 12
Климатическое исполнение: УХЛ1
Мощность, кВА: 0,25
Класс напряжения, кВ: 6; 10
Диаметр окна, мм: 100х490; 100х590; 250х590; 300х590; 450х590; 450х700
Коэффициент трансформации: 30/1…470/1
Климатическое исполнение: УХЛ2; Т2
Климатическое исполнение: У3
Заземляемый: да
Класс напряжения, кВ: 6; 10
Наш специалист проконсультирует
вас по интересующему вопросу
Александр Андреевич
Опыт работы с трансформаторами тока более 17 лет!
Ваш город Екатеринбург?
Используя сайт, вы соглашаетесь с нашим использованием cookies в соответствии с политикой.
